# 2018 Bio-industrial Engineering Practice
###### tags: `Github`
I put data processing python file here.
link https://hackmd.io/s/S1AhIeiMm#
Github https://github.com/linnil1/2018_BIME_Practice
## Plant Factory
Data of light vs distance



Energy vs light source

Multi light source vs distance



## Heating experiment
heating energy vs time

Temperture on rod vs distance from bottom


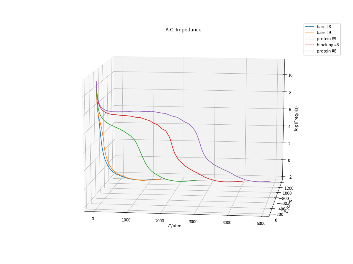
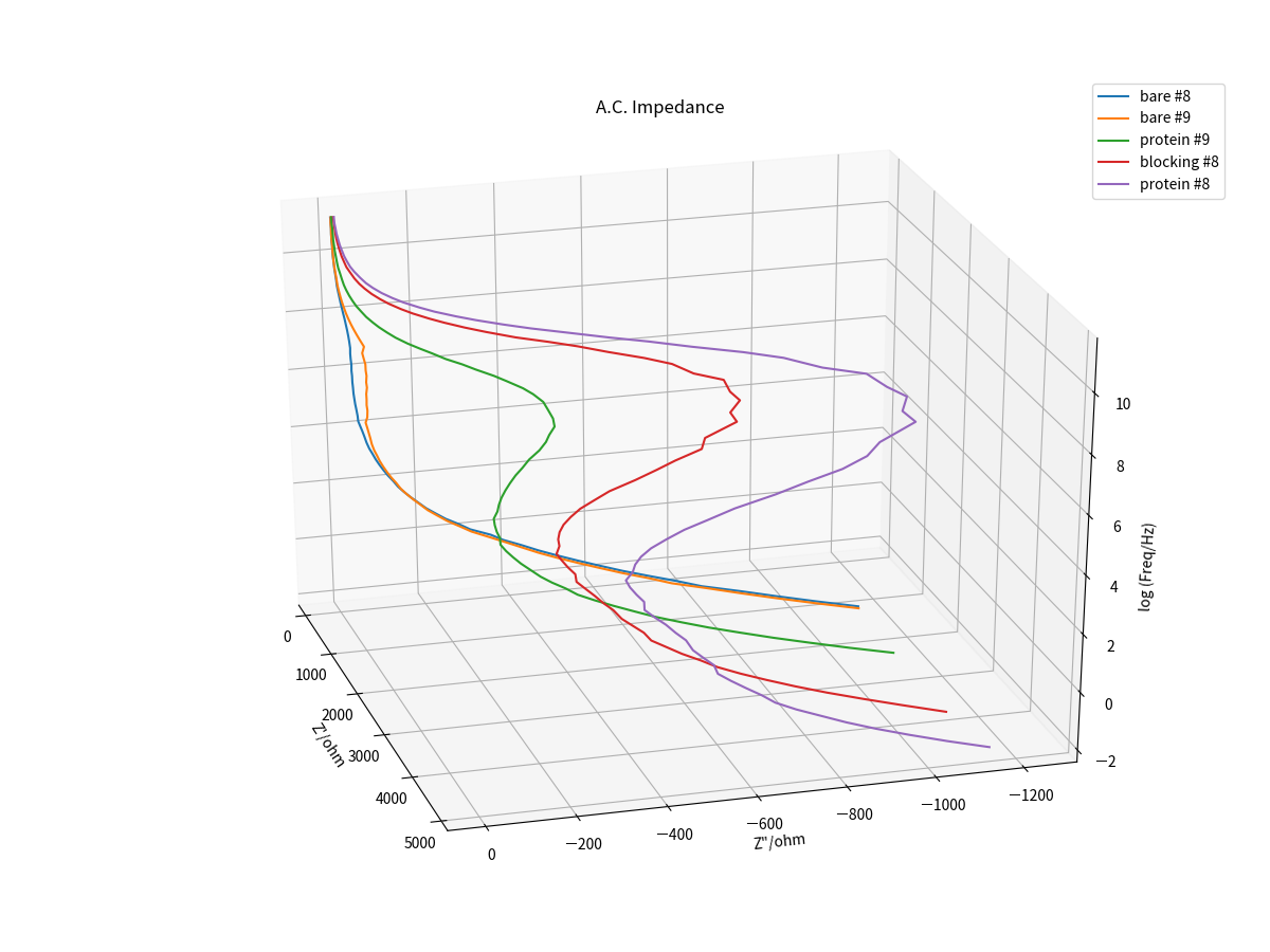
## EIS
Nyquist and Bode plot


The parameters of fit line is got by the program from TA.

Without counter electrode

3D: real part, imaginary part, frequency



## CA


Remove rightest points from above image.

Data of CA with shaking the sample

## OCP



## CV




The min max data in below two images are from the original file, which is not consistent with original data.


## Transplanter
The trace of transplanter




Velcoity and Accerlation of Transplanter

The simulated acceleration data is different from the data we recorded by hand.


The simulated acceleration data is very different from accelermeter.
